English
Toggle navigation
首页
学院概况
学院简介
学院领导
组织机构
治理结构
系所设置
工作职责
联系我们
党政工作
人事工作
党建工作
工会教代会
规章制度
办事流程
师资队伍
杰出人才
教师风采
教学名师
全体教师
硕士生导师
博士生导师
学术科研
学术交流
管理制度
科研团队
科研立项
科研成果
表格下载
办事流程
本科生培养
专业介绍
培养方案
质量工程
在线开放课程
推免专栏
管理制度
表格下载
办事流程
研究生培养
学科点介绍
学位授予
管理制度
表格下载
办事流程
学生工作
学生园地
招生就业
第二课堂
优秀典型
管理制度
表格下载
办事流程
校友会
校友动态
校友风采
杰出校友
捐赠项目
联系我们
下载专栏
本科生培养
研究生培养
学术科研
学生工作
信息公开
学生工作
学生园地
招生就业
团学工作
学生社团
菁华化苑
创新创业
管理制度
表格下载
办事流程
首页
>
招生就业头条
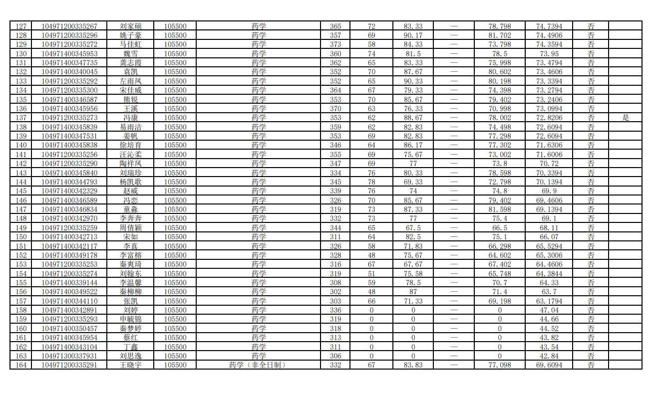
化生学院2021年硕士研究生招生复试成绩公示
发布时间:2021.04.12 16:03
附件下载: